亲们或许不知道Raptor判断一个年份是不是闰年的详细操作,那么今天小编就讲解Raptor判断一个年份是不是闰年的相关教程哦,希望能够帮助到大家呢。
Raptor判断一个年份是不是闰年的相关教程
编程
打开软件
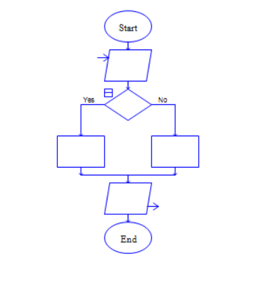
在 Start 和 End之间添加 输出 选择 赋值 赋值 输出 符号。添加完后如图所示
双击输出框,在上方输入"input a number" 下方输入 x
双击判断框 输入 x mod 4=0 and x mod 100!=0 or x mod 400=0
在左侧输入框上输入 result 下方输入 "YES",在右侧输入框上方输入 result 下方输入 "NO"
双击输出框 输入 result 完成程序框图设计 如图所示
运行流程
点击上方小箭头运行程序
小编以2000年为例 输入2000 最终结果为 YES
各位小伙伴们,看完上面的精彩内容,都清楚Raptor判断一个年份是不是闰年的简单操作方法了吧!
体育竞技
47.8MB
88.6MB
310.89MB
游戏辅助 | 4.5GB
2024-04-24
动作格斗 | 20GB
2024-04-23
角色扮演 | 3.2GB
2024-04-22
角色扮演 | 500MB
休闲益智 | 30.17MB
2024-04-18
生活服务 | 144.35MB
学习教育 | 24.26MB
2023-11-08
系统工具 | 6.78MB
体育竞技 | 88.6MB
体育竞技 | 47.8MB
体育竞技 | 310.89MB
Raptor判断一个年份是不是闰年的相关教程
亲们或许不知道Raptor判断一个年份是不是闰年的详细操作,那么今天小编就讲解Raptor判断一个年份是不是闰年的相关教程哦,希望能够帮助到大家呢。
Raptor判断一个年份是不是闰年的相关教程
编程
打开软件
在 Start 和 End之间添加 输出 选择 赋值 赋值 输出 符号。添加完后如图所示
双击输出框,在上方输入"input a number" 下方输入 x
双击判断框 输入 x mod 4=0 and x mod 100!=0 or x mod 400=0
在左侧输入框上输入 result 下方输入 "YES",在右侧输入框上方输入 result 下方输入 "NO"
双击输出框 输入 result 完成程序框图设计 如图所示
运行流程
点击上方小箭头运行程序
小编以2000年为例 输入2000 最终结果为 YES
各位小伙伴们,看完上面的精彩内容,都清楚Raptor判断一个年份是不是闰年的简单操作方法了吧!
体育竞技
47.8MB
体育竞技
88.6MB
体育竞技
310.89MB
游戏辅助 | 4.5GB
2024-04-24
动作格斗 | 20GB
2024-04-23
角色扮演 | 3.2GB
2024-04-22
角色扮演 | 500MB
2024-04-22
休闲益智 | 30.17MB
2024-04-18
生活服务 | 144.35MB
2024-04-18
生活服务 | 144.35MB
2024-04-18
生活服务 | 144.35MB
2024-04-18
学习教育 | 24.26MB
2023-11-08
系统工具 | 6.78MB
2023-11-08
体育竞技 | 88.6MB
体育竞技 | 47.8MB
体育竞技 | 310.89MB